Formula for Margin of Error: How To Calculate in Easy Steps
Updated on August 31, 2021 | 5 min. read
Knowing the formula for margin of error is handy when it comes to market research. From analyzing online survey results to analyzing A/B tests, learning how to calculate the margin of error will help you determine how reliable your results are.
Market research is an important business activity that can significantly boost your net profit margin.
You can calculate the margin of error in multiple ways, so let's cover the easy, commonly used formula for the margin of error, which assumes the worst-case scenario.
What is the Margin of Error?
The margin of error in layman's terms can be synonymous with the phrase “give or take.” The margin of error tells you the degree of error that exists when expressing the survey results. Look at the following statement:
“Based on my survey respondents, 70% of people prefer red over yellow, give or take 5%.”
The margin of error would be 5% in that statement.
In a perfect survey, you could ask the entire population within your target market for their feedback on your product, but this is close to impossible. Instead, when conducting a survey or performing an A/B test, you have to rely on a representative sample population to represent the real population. That’s why a margin of error exists.
Margin of Error Practical Example
Suppose Joe, a cafe owner, regularly surveyed 100 customers each day for a month and asked if they preferred cold brew or iced lattes. On average, 80 out of 100 customers voted for iced lattes, so after a month, Joe reported that he was 95 percent confident that for every 100 customers, 80% of them would prefer iced lattes.
And to make his prediction more reliable, he adds the phrase “80% give or take about 2”. Let’s break down what Joe is reporting.
Because he’s 95 percent confident, this means that 9 out of 10 times that he conducts this survey, he believes 78%-82% of his customers would prefer an iced latte. Joe can now confidently advertise iced latte over cold brews to win more customers.
Confidence Interval vs. Margin of Error: What’s the Difference?
You can express the survey results as a margin of error or a confidence interval. Consider the following statement:
“Based on my random sample survey, between 65% and 75% of people prefer red over yellow.”
The confidence interval is 65% and 75%.
Formula for Margin of Error (Very Simple)
The easy formula for margin of error is
Margin of error= 1/ √sample size
Margin of Error Calculation Using the Easy Formula
In the previous example, let’s say Joe surveyed a total of 3,000 people.
To find the margin of error, you would plug 3,000 into the equation like this:
Margin of error= 1/ √3000
= 1/ 54.77
= .018
Expressed as a percentage, Joe has a 1.8 percent margin of error. It’s that simple.
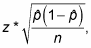
The Extended Margin of Error Formula
Here is the longer formula:
It’s read in the following way.
Take the square root of the following formula: Sample proportion (1- Sample proportion) / sample size
Then multiply the total by a Z score (which is very easy to find).
Finding each component of the formula is very easy. Let’s go step by step.
2 Easy Steps to Calculate Margin of Error
- Find the Confidence Level Z-score (Easy)
You don’t have to calculate for a Z score. Each confidence level has an attached Z score.
- Z score for 90% confidence = 1.645
- Z score for 95% confidence = 1.96
- Z score for 99% confidence= 2.575
The easy formula assumes a confidence level of 95%, so let’s use 1.96 as the Z score as well.
- Plug in sample proportions
Let’s continue with the same example for simplicity.
According to Joe, 80% of his customers preferred iced latte, meaning 20% preferred cold brew.
Plugging in the numbers would look like this.
Find the square root of the following equation: (.80 x .20) / 3000
√.00005333
= .0073
Now multiply the Z score by the total
1.96 x .0073
= .014
Expressed as a percentage, Joe has a 1.4 percent margin of error.
Comparing Both Margin of Error Formulas
As you can see, both results were close. The simple formula gave us 1.8%, and the more extended formula gave us 1.4%. The numbers are close enough that most people just use the easier formula.
Remember the first, easier formula was a worst-case scenario, and it assumes that the sample proportion is equal to 50% such that the previous equation would look like this: (.50 x .50) / 3000
The simple equation also assumes a confidence level of 95%.
What is Confidence Level?
When Joe says that he’s 95% confident, he is saying he has a confidence level of 95%. In statistics, common confidence levels are 90%, 95%, or 99%.
How Does Confidence Level Relate to Margin of Error? (With Example)
When results are expressed with a margins of error, there’s generally a confidence level attached as well. A higher margin of error is attached to a lower confidence level. In contrast, a smaller margin error is attached to a higher confidence level.
Here’s an extreme example to prove why:
Suppose Joe stated that 50% of 100 customers in a random survey would prefer an iced latte (give or take 50).
He can say that statement with 100% confidence because he’s 100% likely to be correct.
Considering 0 is the absolute minimum, and 100 is the absolute maximum, if you give or take 50 from the number 50, you get 0 and 100. It’s 0% likely that he’d be wrong.
However, suppose he now says 50% of 100 customers in a random survey would prefer an iced latte (give or take 30). Now he’s saying that between 20% and 80% of his customers will prefer an iced latte. Now there’s room for error, so his level of confidence will have to be lower.
Boost Your Profit with Market Research Surveys
One way to boost your profit margin is by collecting data from your existing customer base. Ask them about similar products or services that they’re interested in that maybe you can offer. The amount of data you can gather is endless.
To help you with this, FreshBooks seamlessly integrates with a variety of software.
For example, connect with Formstack and leverage their drag and drop form builder to collect data your way.







